이 포스팅에선 머신러닝/딥러닝에 쓰이는 Loss function에 대해서 알아보겠습니다.
1. Objective Function(목적 함수)
2. Loss Function(손실 함수)
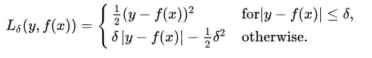
3. Cost Function(목적 함수)

출처 : https://heartbeat.fritz.ai/5-regression-loss-functions-all-machine-learners-should-know-4fb140e9d4b0
![]()


출처 : https://heartbeat.fritz.ai/5-regression-loss-functions-all-machine-learners-should-know-4fb140e9d4b0
import os
import sys
import warnings
import random
import numpy as np
import pandas as pd
from sklearn.datasets import make_regression
from sklearn.ensemble import GradientBoostingRegressor
from sklearn.model_selection import train_test_split
from sklearn.metrics import r2_score, mean_squared_error, mean_absolute_error, mean_squared_log_error
from plotnine import *
%matplotlib inline
warnings.filterwarnings(action='ignore')
reg_data = make_regression(n_samples=700, n_features=1, coef = True, bias=0, noise=3, random_state=0)
W = reg_data[2]
reg_data = pd.DataFrame({"x" : np.reshape(reg_data[0], (1, -1))[0], "y" : np.reshape(reg_data[1], (1, -1))[0]})
(
ggplot() +
geom_point(data = reg_data, mapping = aes(x = "x", y = "y"), alpha = 0.7, color = "blue") +
geom_line(data = reg_data.assign(Yhat = lambda x : W * x["x"]), mapping = aes(x = "x", y = "Yhat"), color = "red") +
theme_bw()
)

<ggplot: (8780434767418)>

train_noise3, val_noise3 = train_test_split(reg_data)
gb_mae = GradientBoostingRegressor(loss='lad')
gb_mae.fit(train_noise3[["x"]], train_noise3["y"])
val_noise3["predict_mae"] = gb_mae.predict(val_noise3[["x"]])
(
ggplot() +
geom_point(data = val_noise3, mapping = aes(x = "x", y = "y"), alpha = 0.7, color = "blue") +
geom_line(data = val_noise3.assign(Yhat = lambda x : W * x["x"]), mapping = aes(x = "x", y = "Yhat"), color = "red") +
geom_point(data = val_noise3, mapping = aes(x = "x", y = "predict_mae"), alpha = 0.7, color = "green") +
theme_bw()
)

<ggplot: (8780435123953)>

gb_mse = GradientBoostingRegressor(loss='ls')
gb_mse.fit(train_noise3[["x"]], train_noise3["y"])
val_noise3["predict_mse"] = gb_mse.predict(val_noise3[["x"]])
(
ggplot() +
geom_point(data = val_noise3, mapping = aes(x = "x", y = "y"), alpha = 0.7, color = "blue") +
geom_line(data = val_noise3.assign(Yhat = lambda x : W * x["x"]), mapping = aes(x = "x", y = "Yhat"), color = "red") +
geom_point(data = val_noise3, mapping = aes(x = "x", y = "predict_mse"), alpha = 0.7, color = "green") +
theme_bw()
)

<ggplot: (8780435373918)>

r2_mse = r2_score(val_noise3["y"], val_noise3["predict_mse"])
r2_mae = r2_score(val_noise3["y"], val_noise3["predict_mae"])
print(f"loss function = mse , r2 = {r2_mse} \nloss function = mae , r2 = {r2_mae} \n")
print("mse loss function is better") if r2_mse > r2_mae else print("mae loss function is better")
loss function = mse , r2 = 0.9918358038512971
loss function = mae , r2 = 0.9915088210446611
mse loss function is better
reg_data = make_regression(n_samples=700, n_features=1, coef = True, bias=0, noise=30, random_state=0)
W = reg_data[2]
reg_data = pd.DataFrame({"x" : np.reshape(reg_data[0], (1, -1))[0], "y" : np.reshape(reg_data[1], (1, -1))[0]})
(
ggplot() +
geom_point(data = reg_data, mapping = aes(x = "x", y = "y"), alpha = 0.7, color = "blue") +
geom_line(data = reg_data.assign(Yhat = lambda x : W * x["x"]), mapping = aes(x = "x", y = "Yhat"), color = "red") +
theme_bw()
)

<ggplot: (8780435392847)>

train_noise30, val_noise30 = train_test_split(reg_data)
mod_mae = GradientBoostingRegressor(loss='lad')
mod_mae.fit(train_noise30[["x"]], train_noise30["y"])
val_noise30["predict_mae"] = mod_mae.predict(val_noise30[["x"]])
(
ggplot() +
geom_point(data = val_noise30, mapping = aes(x = "x", y = "y"), alpha = 0.7, color = "blue") +
geom_line(data = val_noise30.assign(Yhat = lambda x : W * x["x"]), mapping = aes(x = "x", y = "Yhat"), color = "red") +
geom_point(data = val_noise30, mapping = aes(x = "x", y = "predict_mae"), alpha = 0.7, color = "green") +
theme_bw()
)

<ggplot: (8780435595828)>

mod_mse = GradientBoostingRegressor(loss='ls')
mod_mse.fit(train_noise30[["x"]], train_noise30["y"])
val_noise30["predict_mse"] = mod_mse.predict(val_noise30[["x"]])
(
ggplot() +
geom_point(data = val_noise30, mapping = aes(x = "x", y = "y"), alpha = 0.7, color = "blue") +
geom_line(data = val_noise30.assign(Yhat = lambda x : W * x["x"]), mapping = aes(x = "x", y = "Yhat"), color = "red") +
geom_point(data = val_noise30, mapping = aes(x = "x", y = "predict_mse"), alpha = 0.7, color = "green") +
theme_bw()
)

<ggplot: (8780435596535)>

r2_mse = r2_score(val_noise30["y"], val_noise30["predict_mse"])
r2_mae = r2_score(val_noise30["y"], val_noise30["predict_mae"])
print(f"loss function = mse , r2 = {r2_mse} \nloss function = mae , r2 = {r2_mae} \n")
print("mse loss function is better") if r2_mse > r2_mae else print("mae loss function is better")
loss function = mse , r2 = 0.621454977530706
loss function = mae , r2 = 0.6287389318213169
mae loss function is better
reg_data = make_regression(n_samples=700, n_features=1, coef = True, bias=0, noise=3, random_state=0)
W = reg_data[2]
reg_data = pd.DataFrame({"x" : np.reshape(reg_data[0], (1, -1))[0], "y" : np.reshape(reg_data[1], (1, -1))[0]})
reg_data.y.describe()
count 700.000000
mean -2.452193
std 37.111026
min -110.632613
25% -26.714069
50% -2.736849
75% 22.932101
max 96.369512
Name: y, dtype: float64
reg_data["outlier"] = 0
reg_data.loc[[random.randint(1, 700) for i in range(70)], "outlier"] = [-1 * random.random() * 70 if random.random() > 0.5 else random.random() * 50 for i in range(70)]
reg_data["y"] = reg_data["y"] + reg_data["outlier"]
(
ggplot() +
geom_point(data = reg_data, mapping = aes(x = "x", y = "y"), alpha = 0.7, color = "blue") +
geom_line(data = reg_data.assign(Yhat = lambda x : W * x["x"]), mapping = aes(x = "x", y = "Yhat"), color = "red") +
theme_bw()
)

<ggplot: (8780435639652)>

train_noise_add, val_noise_add = train_test_split(reg_data)
gb_mae = GradientBoostingRegressor(loss='lad')
gb_mae.fit(train_noise_add[["x"]], train_noise_add["y"])
val_noise_add["predict_mae"] = gb_mae.predict(val_noise_add[["x"]])
(
ggplot() +
geom_point(data = val_noise_add, mapping = aes(x = "x", y = "y"), alpha = 0.7, color = "blue") +
geom_line(data = val_noise_add.assign(Yhat = lambda x : W * x["x"]), mapping = aes(x = "x", y = "Yhat"), color = "red") +
geom_point(data = val_noise_add, mapping = aes(x = "x", y = "predict_mae"), alpha = 0.7, color = "green") +
theme_bw()
)

<ggplot: (8780435748928)>

gb_mse = GradientBoostingRegressor(loss='ls')
gb_mse.fit(train_noise_add[["x"]], train_noise_add["y"])
val_noise_add["predict_mse"] = gb_mse.predict(val_noise_add[["x"]])
(
ggplot() +
geom_point(data = val_noise_add, mapping = aes(x = "x", y = "y"), alpha = 0.7, color = "blue") +
geom_line(data = val_noise_add.assign(Yhat = lambda x : W * x["x"]), mapping = aes(x = "x", y = "Yhat"), color = "red") +
geom_point(data = val_noise_add, mapping = aes(x = "x", y = "predict_mse"), alpha = 0.7, color = "green") +
theme_bw()
)

<ggplot: (8780435116644)>

r2_mse = r2_score(val_noise_add["y"], val_noise_add["predict_mse"])
r2_mae = r2_score(val_noise_add["y"], val_noise_add["predict_mae"])
print(f"loss function = mse , r2 = {r2_mse} \nloss function = mae , r2 = {r2_mae} \n")
print("mse loss function is better") if r2_mse > r2_mae else print("mae loss function is better")
loss function = mse , r2 = 0.9034459237257022
loss function = mae , r2 = 0.9289790449993298
mae loss function is better
ex) q = 0.25 일 때의 분위수 손실 :
![]()
ex_ = [i for i in range(1, 10)]
np.median(ex_)
5.0
np.round(np.quantile(ex_, 0.95))
9.0
ex__ = ex_ + [np.round(np.quantile(ex_, 0.95)) for _ in range(1, 10)]
np.median(ex__)
9.0
출처 : https://cnp-0717.tistory.com/m/22
출처 : https://heartbeat.fritz.ai/5-regression-loss-functions-all-machine-learners-should-know-4fb140e9d4b0
출처 : http://ds.sumeun.org/?p=2173
Ws = []
bias = []
reg_data = pd.DataFrame()
for i in range(5) :
bias_ = (i+5) ** 3
reg_data_ = make_regression(n_samples=100, n_features=1, coef = True, bias= bias_, noise=40, random_state = 0)
W_ = reg_data_[2]
reg_data_ = pd.DataFrame({"x" : np.reshape(reg_data_[0], (1, -1))[0], "y" : np.reshape(reg_data_[1], (1, -1))[0]})
reg_data_["i"] = i
reg_data_["W"] = W_
reg_data_["bias"] = bias_
Ws += W_
bias += [bias_]
reg_data = pd.concat([reg_data, reg_data_])
(
ggplot() +
geom_point(data = reg_data, mapping = aes(x = "x", y = "y", color = "i"), alpha = 0.7, ) +
geom_line(data = reg_data.assign(Yhat = lambda x : x["W"] * x["x"] + x["bias"]), mapping = aes(x = "x", y = "Yhat", group = "i", color = "i")) +
theme_bw()
)

<ggplot: (8780435121905)>

train_quant, val_quant = train_test_split(reg_data)
result = {}
result_ = {}
result__ = {}
for alpha in [(i+1) / 10 for i in range(9)] :
gb_quant = GradientBoostingRegressor(loss='quantile', alpha = alpha)
gb_quant.fit(train_quant[["x"]], train_quant["y"])
result[f"q{alpha}"] = gb_quant.predict(val_quant[["x"]])
result_[f"q{alpha}"] = val_quant["y"]
result__[f"q{alpha}"] = val_quant["x"]
result = pd.DataFrame(result)
result_ = pd.DataFrame(result_)
result__ = pd.DataFrame(result__)
result = pd.concat([pd.melt(result).add_prefix("predict_"), pd.melt(result_).add_prefix("Y_"), pd.melt(result__).add_prefix("X_")], axis = 1)
result["q"] = result["predict_variable"].str.replace("q", "").astype(float)
(
ggplot() +
geom_point(data = reg_data, mapping = aes(x = "x", y = "y", fill = "i"), alpha = 0.4, size = 2) +
geom_line(data = result, mapping = aes(x = "X_value", y = "predict_value", color = "q", group = "predict_variable"), size = 1.5, alpha = 0.5) +
theme_bw()
)

<ggplot: (8780436184420)>

reg_data = make_regression(n_samples=700, n_features=1, coef = True, bias=0, noise=0, random_state=0)
W = reg_data[2]
reg_data = pd.DataFrame({"x" : np.reshape(reg_data[0], (1, -1))[0], "y" : np.reshape(reg_data[1], (1, -1))[0]})
reg_data = reg_data[reg_data.x > 0]
reg_data["y"] = [x[1] + (( -1 if random.random() > 0.5 else 1) * (20 * x[0] * x[0] * random.random())) for x in reg_data.values]
(
ggplot() +
geom_point(data = reg_data, mapping = aes(x = "x", y = "y"), alpha = 0.7, color = "blue") +
geom_line(data = reg_data.assign(Yhat = lambda x : W * x["x"]), mapping = aes(x = "x", y = "Yhat"), color = "red") +
theme_bw()
)

<ggplot: (8780436361710)>

(
ggplot(data = reg_data, mapping = aes(x = "y", y = "..density..")) +
geom_histogram(alpha = 0.7, fill = "blue", color = "black") +
theme_bw()
)

<ggplot: (8780436607383)>

train_quant, val_quant = train_test_split(reg_data)
result = {}
result_ = {}
result__ = {}
for alpha in [(i+1) / 10 for i in range(9)] :
gb_quant = GradientBoostingRegressor(loss='quantile', alpha = alpha)
gb_quant.fit(train_quant[["x"]], train_quant["y"])
result[f"q{alpha}"] = gb_quant.predict(val_quant[["x"]])
result_[f"q{alpha}"] = val_quant["y"]
result__[f"q{alpha}"] = val_quant["x"]
result = pd.DataFrame(result)
result_ = pd.DataFrame(result_)
result__ = pd.DataFrame(result__)
result = pd.concat([pd.melt(result).add_prefix("predict_"), pd.melt(result_).add_prefix("Y_"), pd.melt(result__).add_prefix("X_")], axis = 1)
result["q"] = result["predict_variable"].str.replace("q", "").astype(float)
편의 상 x의 제곱에 상수를 곱하여 오차를 만들어 분산이 선형으로 일어나진 않아 모델이 꼭 잘 피팅되진 않은 것 같습니다.
(
ggplot() +
geom_point(data = reg_data, mapping = aes(x = "x", y = "y"), alpha = 0.4, size = 2) +
geom_line(data = result, mapping = aes(x = "X_value", y = "predict_value", color = "q", group = "predict_variable"), size = 1.5, alpha = 0.5) +
stat_quantile(data = reg_data, mapping = aes(x = "x", y = "y"), quantiles = set([(i+1) / 10 for i in range(9)])) +
theme_bw()
)

<ggplot: (8780436172677)>

![]()
reg_data = make_regression(n_samples=700, n_features=1, coef = True, bias=0, noise=3, random_state=0)
W = reg_data[2]
reg_data = pd.DataFrame({"x" : np.reshape(reg_data[0], (1, -1))[0], "y" : np.reshape(reg_data[1], (1, -1))[0]})
reg_std = reg_data["y"].std()
rmse_mean = np.sqrt(mean_squared_error(reg_data["y"], [reg_data.y.mean() for _ in range(len(reg_data))]))
print(f"데이터의 표준편차 : {reg_std} - 모든 값을 평균으로 예측을 했을 때 rmse : {rmse_mean}")
데이터의 표준편차 : 37.111026013592685 - 모든 값을 평균으로 예측을 했을 때 rmse : 37.08450866400196
![]()
![]()

code : https://github.com/Chanjun-kim/Chanjun-kim.github.io/blob/main/_ipynb/2021-07-05-LossFunction1.ipynb
Written on July 5th, 2021 by Chanjun Kim참고자료 : https://brunch.co.kr/@tristanmhhd/14
참고자료 : https://steadiness-193.tistory.com/277
참고자료 : https://m.blog.naver.com/tlrror9496/222055889079
참고자료 : https://medium.com/@Aaron__Kim/%EC%84%A0%ED%98%95-%ED%9A%8C%EA%B7%80%EC%9D%98-%EA%B2%B0%EC%A0%95%EA%B3%84%EC%88%98-linear-regression-r-squared-determination-coefficient-a66e4a32a9d6
참고자료 : https://go-hard.tistory.com/125